advertisement
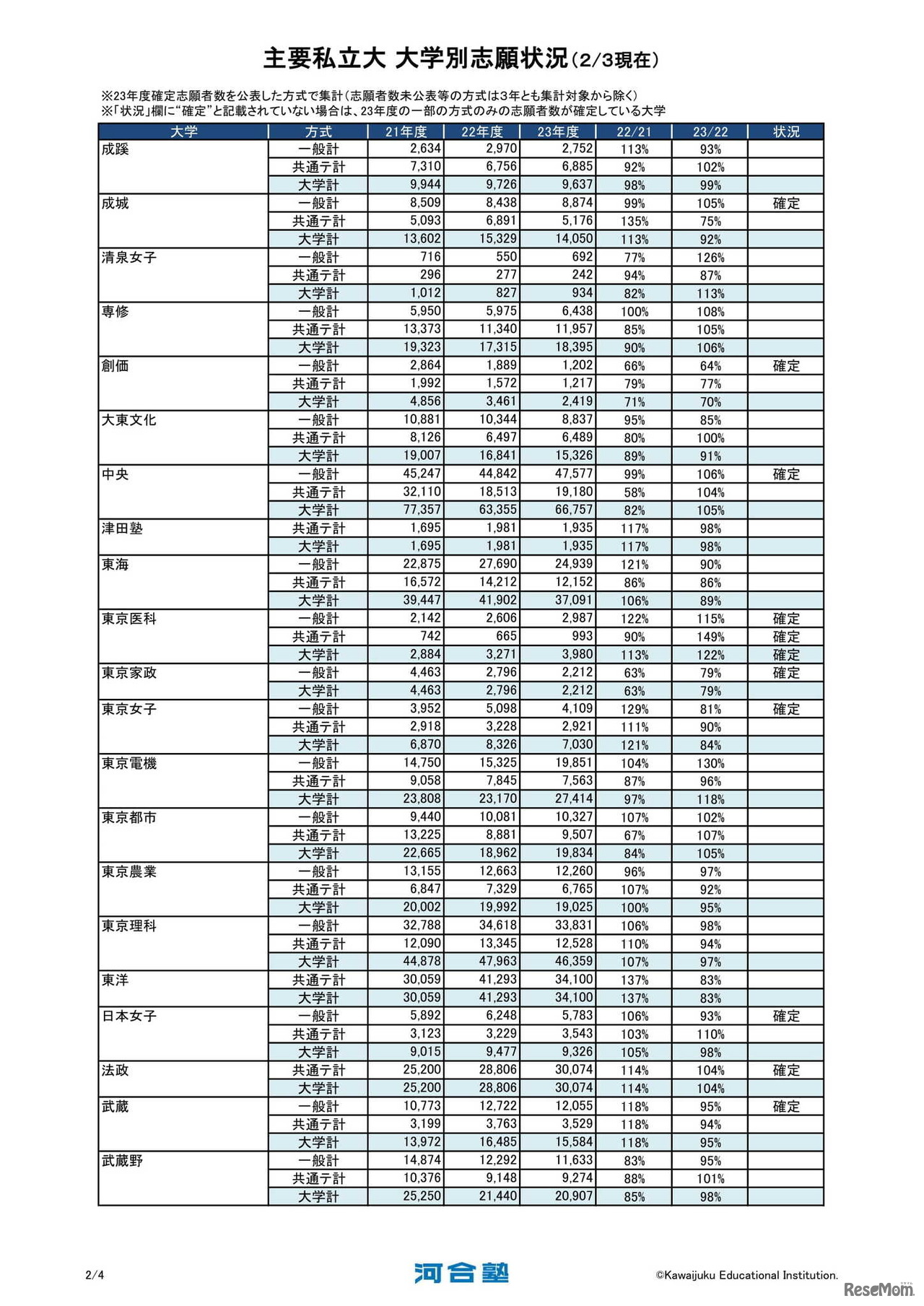
河合塾の大学入試情報サイト「Kei-Net」は、2023年度入試情報に「主要私立大志願状況」を掲載した。2月3日現在、主要80大学の志願者数は150万1,225人。「関関同立」「産近甲龍」の志願者数は、一般方式と共通テスト利用方式ともに前年度と比べ増加している。
鹿児島大学は、2022年11月15日に実施した医学部保健学科看護…
厚生労働省は2025年11月7日、2025年第44週(10月27日~11月2…
河合塾は2025年11月15日と16日、全国の国公立・私立大学が一…
愛知県教育委員会は、2026年度(令和8年度)愛知県公立高等学…
和歌山県教育委員会は、2026年度(令和8年度)和歌山県立高等…
JSコーポレーションが毎月公表している「大学人気ランキング…
東進ハイスクールが独自に作成する「ダブル合格者進学先分析…