advertisement
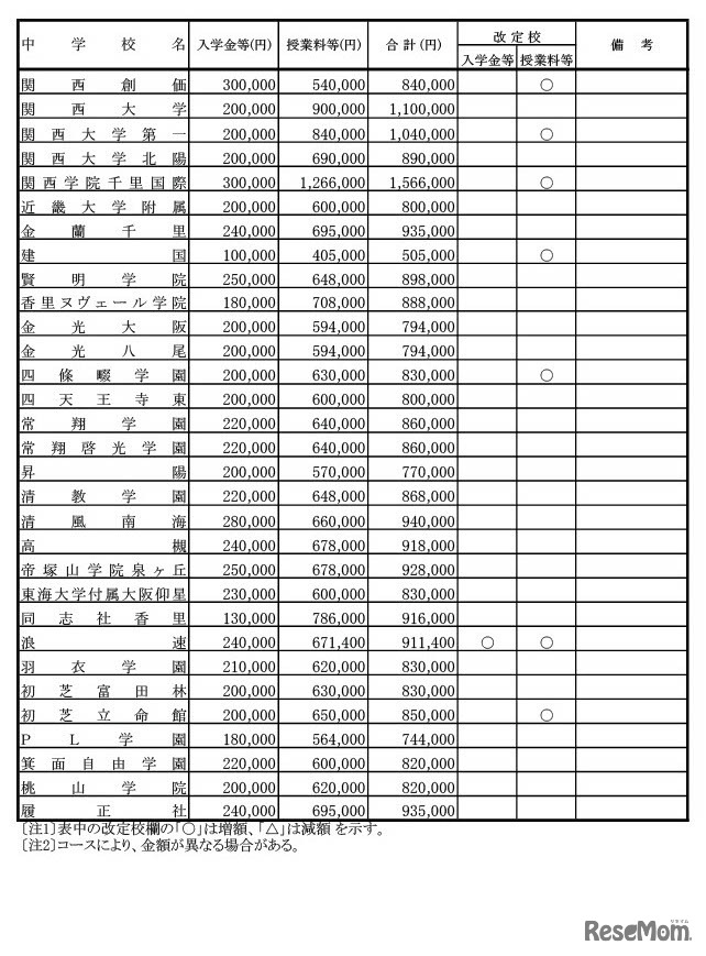
大阪私立中学校高等学校連合会は2023年11月30日、2024年度(令和6年度)私立中学校・高校の新入学生に係わる納付金などの一覧表をWebサイトで公開した。初年度納付金は、中学校が清風など12校、高校が大阪国際など16校が増額を予定している。
青森県教育委員会は2026年5月21日、県立高校における全国募集…
大阪府教育委員会は2026年4月9日、2027年度(令和9年度)大阪…
日本私立学校振興・共済事業団は、2024年度の私立高等学校入…
大分県教育委員会は2026年5月22日、2027年度(令和9年度)大…
2025年度の首都圏中学入試まで、残すところ100日を切った。首…
ワンダーファイは2026年5月25日、中学入試算数アプリ教材「究…
気象庁は2026年5月29日から、自治体が発令する警戒レベルと連…
TOMASは「有名中高一貫校 学校見学説明会2026」について、202…
東京都私学財団は2026年5月20日、2027年4月に高校または専修…
東京都は2026年5月22日、都庁の仕事が体験できる「都庁インタ…
Language