advertisement

【大学受験2024】主要私大の志願状況(2/2現在)前年度比102% 5枚目の写真・画像

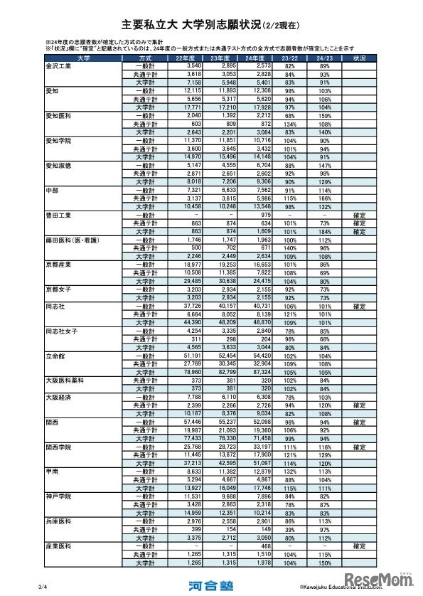
 河合塾の大学入試情報サイト「Kei-Net」は、2024年度入試情報に「主要私立大志願状況(集計データ)」を掲載した。2024年2月2日現在、主要私立64大学の志願者数は、前年度比102%の149万1,626人。大学グループ別では、「成成明國武」「日東駒専」などが一般方式、共通テスト利用方式ともに志願者数を伸ばした。

教育・受験 高校生
主要私立大 大学別志願状況(2月2日現在) (c) Kawaijuku Educational Institution.
画像出典:河合塾 主要私立大 大学別志願状況(2月2日現在) (c) Kawaijuku Educational Institution.

編集部おすすめの記事

特集

page top