advertisement
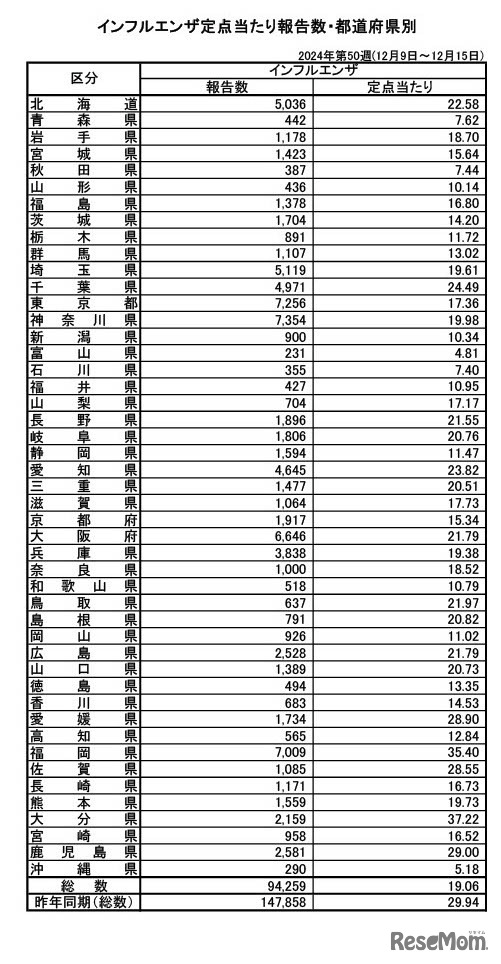
厚生労働省は2024年12月20日、第50週(12月9日~15日)のインフルエンザ発生状況を発表した。定点あたり報告数は注意報レベルとなる19.06人に拡大。首都圏でも東京や埼玉、神奈川が相次いで流行注意報を発令した。大分と福岡では報告数30人以上の警報レベルに達している。
ノースターは、年末年始にかけて増加が懸念される小児感染症…
リセマムは2025年7月2日から8月4日にかけて、中学生以上のお…
東京書籍は、教科書に基づいた個別最適な学習を支援するAI対…
デジタル人材共創連盟は、中高生等のデジタル関連活動のモチ…
人事院は2025年12月18日、秋に実施した2025年度国家公務員採…