advertisement
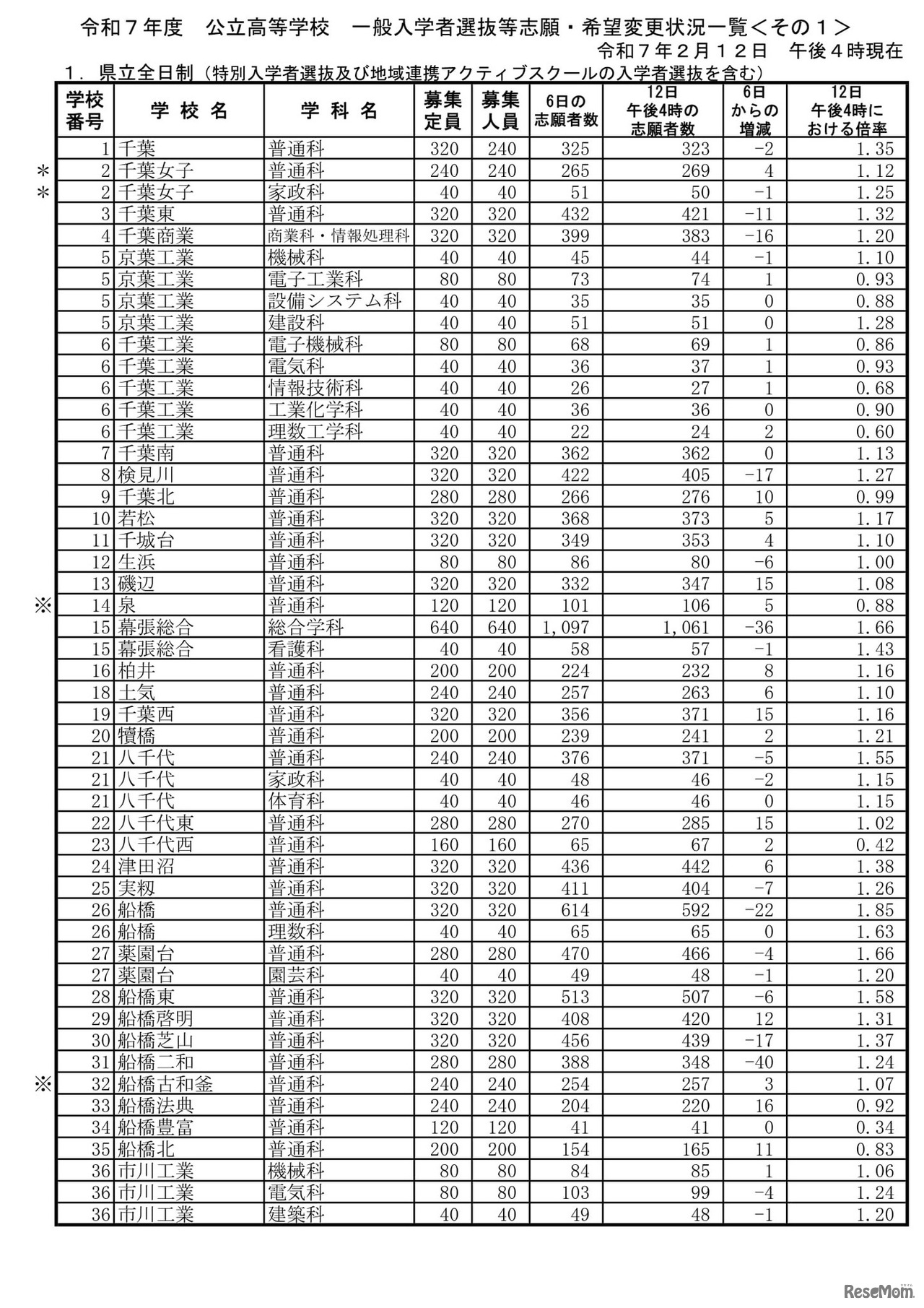
千葉県教育委員会は2025年2月12日、2025年度(令和7年度)千葉県公立高等学校入学者選抜について、一般入学者選抜等志願状況を発表した。2月12日午後4時時点の倍率は、東葛飾(普通)2.08倍がもっとも高い。
東京都教育委員会は2025年9月26日、2025年度(令和7年度)第2…
千葉県教育委員会は2025年11月7日、2025年度(令和7年度)第2…
河合塾グループの河合塾学園(本部:愛知県名古屋市、理事長…
河合塾の大学入試情報サイト「Kei-Net」は2025年12月9日、最…
栃木県教育委員会は2025年12月8日、2026年度県立中学校入学者…
学研ステイフルは2025年11月20日、A5ノートにかぶせて使える…
ChatGPTなど生成AIが社会を変える今、子供に必要な力とは? …