advertisement
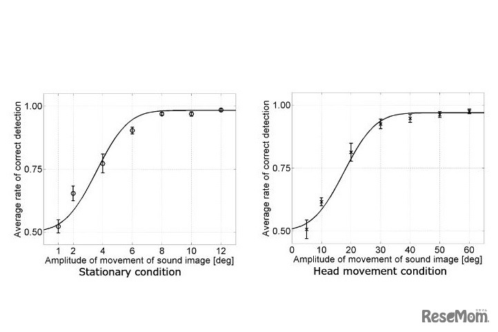
東北大学などの研究グループは9月23日、「頭を動かしている最中は音に気付きにくくなる」という研究成果を発表した。音空間知覚の仕組みの解明につながるほか、工学応用の面でも情報処理技術の開発につながる重要な成果だという。
河合塾仙台校は2026年3月1日、東北大学をめざす高校生・中学…
学研教育総合研究所は2026年2月18日、幼児を対象とした生活実…
ビーサイズは2026年2月18日、子供向け見守りGPSサービス「BoT…
医学部進学予備校YMSは、Webサイトにて「2026年度 医学部試験…
TOKYO FMとソニーミュージックは、10代アーティスト限定の音…
河合塾学園は2026年3月8日、ドルトンX学園高等学校の開校特別…
こども家庭庁は2月6日、霞が関プラザホールにて「こどものま…
オルビスは、国際女性デー(3月8日)に先がけ、思春期の心と…
2026年度(令和8年度)東京都立高等学校入学者選抜(都立入試…
Language