advertisement
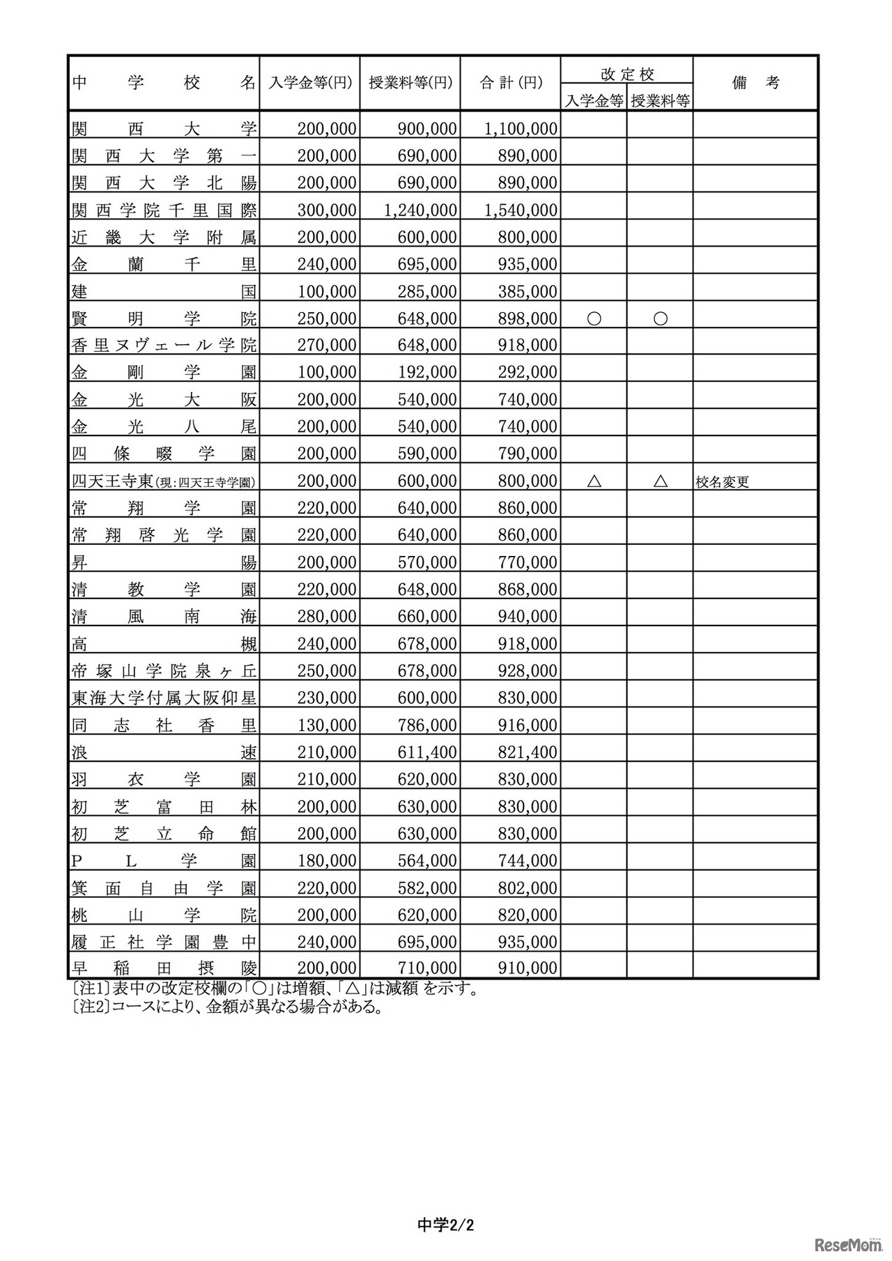
大阪私立中学校高等学校連合会は2019年11月25日、2020年度(令和2年度)入試情報として、「新入学生に係わる納付金等」を公開した。府内私立学校の初年度納付金をまとめたもので、中学校3校と高校15校が増額。減額は四天王寺東(現:四天王寺学園)1校のみだった。
小学館は2020年12月5日、中学受験生の保護者を対象に、無料オ…
令和2年度(2020年度)福島県立高等学校一般入学者選抜学力検…
青森県教育委員会は2026年5月21日、県立高校における全国募集…
大阪府教育委員会は2026年4月9日、2027年度(令和9年度)大阪…
TOMASは「有名中高一貫校 学校見学説明会2026」について、202…
大阪私立中学校高等学校連合会は2026年2月5日、2026年度(令…
毎日新聞社は2025年12月10日、中学受験専門塾の日能研関西お…
大阪私立中学校高等学校連合会は2021年11月11日、2022年度(…
大阪私立中学校高等学校連合会は2026年2月6日、2026年度(令…
2026年1月17日、関西2府4県の私立中学入試が解禁となる。この…
今年もさまざまなテーマを取り上げた、第72回青少年読書感想…
大分県教育委員会は2026年5月22日、2027年度(令和9年度)大…
Language