advertisement

【中学受験2021】【高校受験2021】神奈川県私立中高、生徒募集要項を公表 11枚目の写真・画像

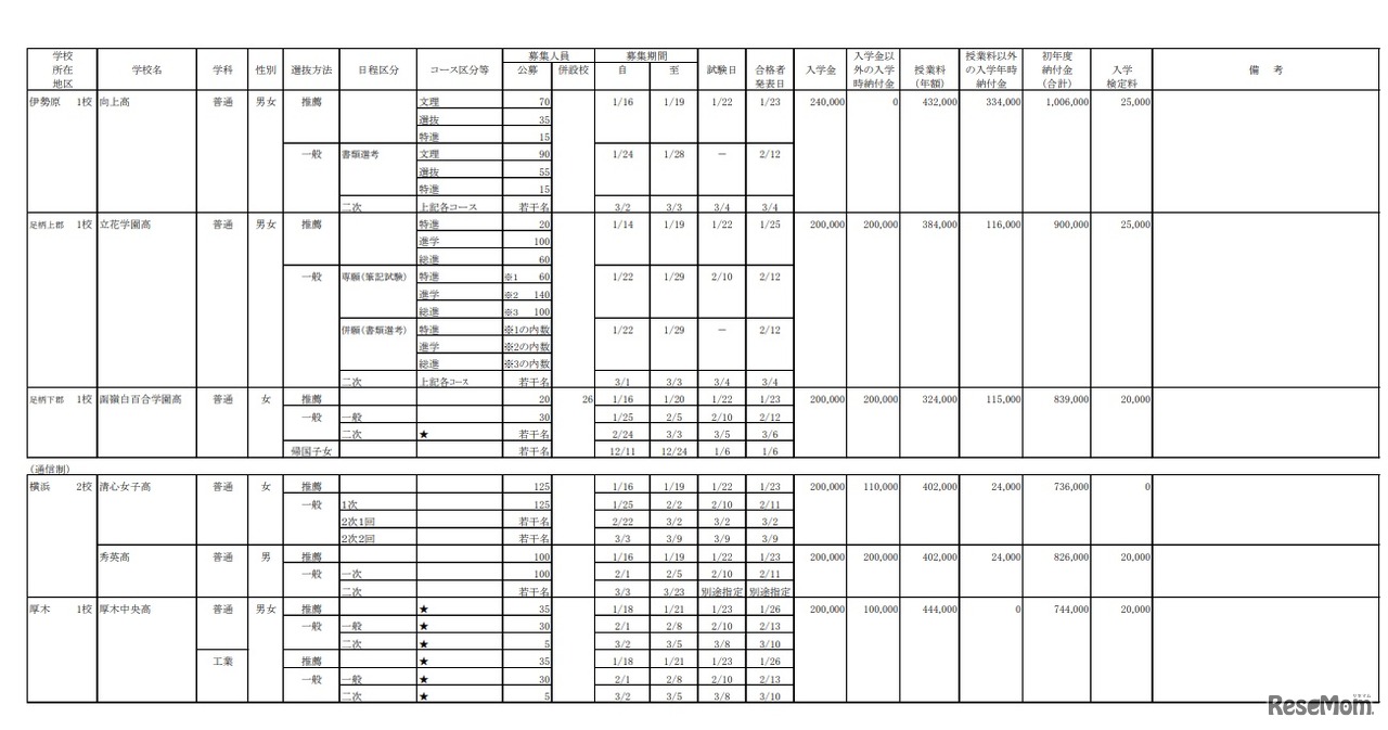
 神奈川県私立中学高等学校協会は2020年10月21日、「2021年度(令和3年度)生徒募集要項」(中学/高校/中等教育学校)をWebサイトで公表した。高等学校は地域ごとに募集人員や試験日などの基本情報から入学金や授業料なども掲載している。

教育・受験 中学生
2021年度 私立高等学校募集要項
画像出典:神奈川県私立中学高等学校案内 2021年度 私立高等学校募集要項

編集部おすすめの記事

特集

page top