advertisement
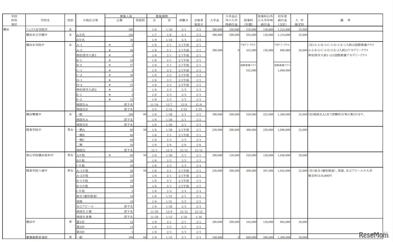
神奈川県私立中学高等学校協会は2020年10月21日、「2021年度(令和3年度)生徒募集要項」(中学/高校/中等教育学校)をWebサイトで公表した。高等学校は地域ごとに募集人員や試験日などの基本情報から入学金や授業料なども掲載している。
神奈川県教育委員会は2025年11月28日、2025年度(令和7年度)…
新年を迎え、気持ちを新たに、私立小学校では受験生向けのイ…
神奈川県教育委員会は2021年1月20日、2021年度(令和3年度)…
河合塾グループの河合塾学園(本部:愛知県名古屋市、理事長…
東京学芸大学は2021年11月16日、2021年度(令和3年度)東京学…
栃木県教育委員会は2025年12月8日、2026年度県立中学校入学者…
首都圏模試センターは、2026年中学入試予想偏差値一覧の最新…
学研ステイフルは2025年11月20日、A5ノートにかぶせて使える…
ChatGPTなど生成AIが社会を変える今、子供に必要な力とは? …
編集部ではサピックス小学部より、志願者が多い学校の併願パ…
栄光リンクスタディは2025年9月から2026年1月まで、「早慶附…
神奈川県の私立中学入試の日程など、2026年(令和8年)の受験…
受験目前となる1月は、各地の中学校でイベントが開催される。…
SAPIX小学部は2025年5月10日、小学生の保護者を対象とした特…
和洋女子大学は2025年12月4日、文部科学省からの「私立大学に…