advertisement
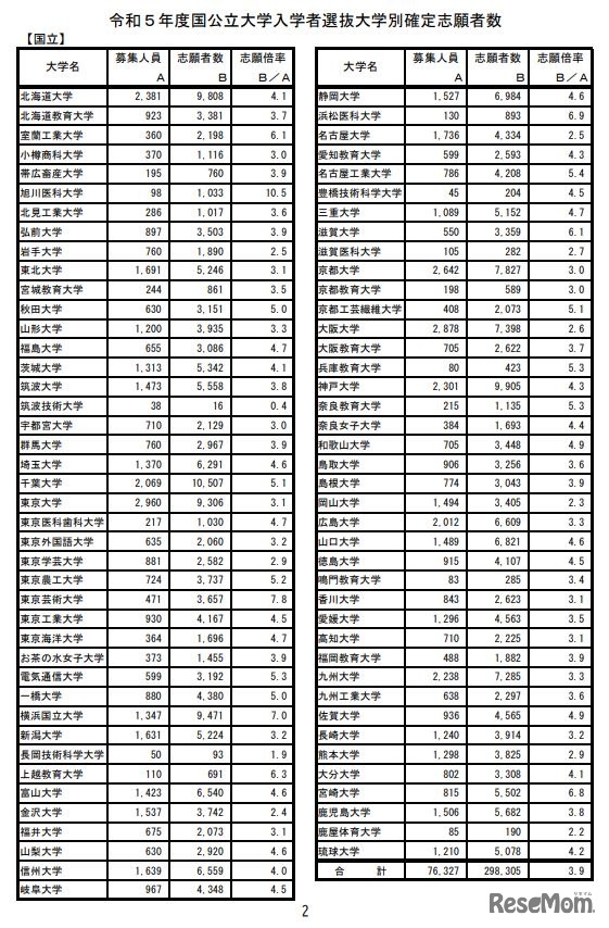
文部科学省は2023年2月21日、2023年度(令和5年度)国公立大学入学者選抜2次試験について確定志願状況と2段階選抜実施状況を発表した。確定志願倍率は、前期日程が2.9倍、後期日程が10.0倍、中期日程が13.0倍、合計4.3倍であった。
鹿児島大学は、2022年11月15日に実施した医学部保健学科看護…
大学入学共通テストが約1か月後に迫っている。緊張感が高まる…
エー・アンド・アイが運営する幼稚園・小学校受験対策教室「…
大学通信は2025年8月5日、国公私立509大学の高校別合格者数ラ…
やる気スイッチグループが展開する幼児教室「チャイルド・ア…
2025年の埼玉校の出願開始日となった2025年12月1日、リセマム…