advertisement
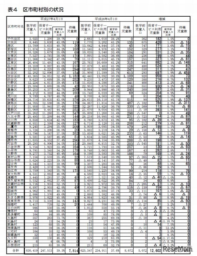
東京都内の待機児童数(平成27年4月1日現在)は、前年比858人減の7,814人であることが7月23日、東京都福祉保健局のとりまとめでわかった。区市町村別では、世田谷区の待機児童数が1,182人でもっとも多かった。
第51回衆議院議員総選挙が27日に公示され、2月8日に投開票を…
東京私立中学高等学校協会は2026年2月2日、2026年度(令和8年…
イードの教育情報サイト「リセマム(ReseMom)」は、より多く…
日本英語検定協会は2026年1月30日、2026年度第3回検定より導…
大東建託は2026年1月21日、「子育て世帯の街の住みここちラン…
厚生労働省は2026年1月29日、警察庁の自殺統計に基づく自殺者…
イー・ラーニング研究所は2026年1月26日、子供がいる親世代を…
ユニセフは2026年1月30日、セーファーインターネットデー(SI…
Language