advertisement
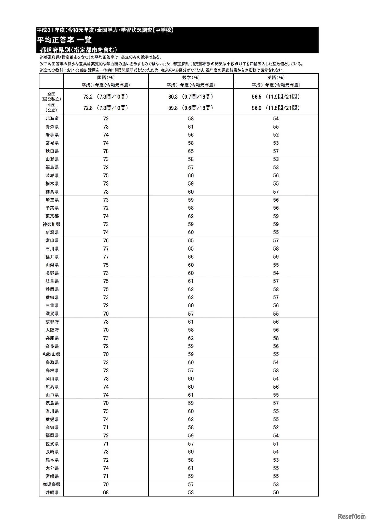
文部科学省は2019年7月31日、小学6年生と中学3年生を対象に、4月18日に実施した2019年度(令和元年度)「全国学力・学習状況調査(全国学力テスト)」の結果を発表した。国公私立の平均正答率や都道府県別の結果を公開している。
文部科学省は2025年9月30日、小学校6年生と中学校3年生を対象…
全国こども食堂支援センター・むすびえは2025年12月11日、202…
文部科学省は2025年12月12日、2026年度(令和8年度)国公立大…
お茶の水女子大学理系女性育成啓発研究所は2026年1月11日、中…
熊本県教育委員会は2025年12月11日、2026年度(令和8年度)熊…
嘉悦大学は2025年12月12日の「漢字の日」を前に、若い世代の…
世界での年間受験者数が400万人を超えるグローバルな英語4技…
跡見学園女子大学は2026年4月、文京キャンパスに「情報科学芸…
TACは、12月14日に実施の2025年公認会計士試験第I回短答式試…