advertisement
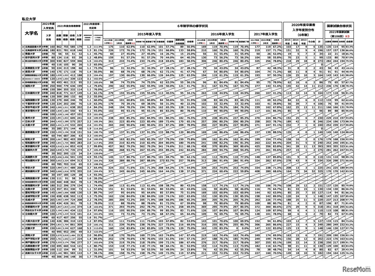
文部科学省は2022年1月27日、全国の薬学部における2021年度の修学状況および退学状況等の調査結果を発表した。2015年度入学生の退学率は、国立大学の東京大学、千葉大学等が0%、京都大学が16.67%。私立大学では、東京理科大学0.98%がもっとも低かった。
城西大学薬学部は2026年7月から2027年3月にかけて全4回、高校…
人事院は2026年5月13日、2026年度国家公務員採用試験の申込状…
高専生の事業創出コンテスト「第7回 全国高等専門学校ディー…
北海道大学産学・地域協働推進機構は、おもに北海道外の大学…
旺文社の入試情報サイト「大学受験パスナビ」では、全国732大…
千葉大学は2026年9月26日、「第20回高校生理科研究発表会」を…
リセマム編集長・加藤紀子による連載「編集長が今、会いたい…
河合塾は2026年6月7日と14日、中学生・高校生とその保護者を…
駿台予備学校は2026年4月13日、2026年度の国公立大入試状況分…
駿台予備学校は2026年5月8日、「2026年度 私立大入試状況分析…
大学通信は2026年4月、大学合格者の高校別ランキングを公表し…
頑張っているのに成績が伸びない原因は努力不足ではなく、学…
東京・神奈川の私立女子中学31校が一堂に会する「私立女子中…
Language