advertisement

東京都立高校、3学期の転学・編入学…全日制169校が募集 2枚目の写真・画像

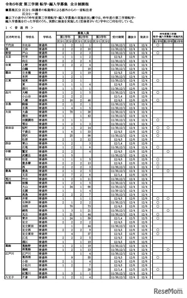
 東京都教育委員会は2023年11月17日、2023年度(令和5年度)第3学期都立高等学校転学・編入学募集について公表した。全日制は、日比谷、西、国立、戸山など169校が5,432人を募集する。

教育・受験 高校生
2023年度第三学期 転学・編入学募集 (全日制課程)
画像出典:東京都教育委員会 2023年度第三学期 転学・編入学募集 (全日制課程)

編集部おすすめの記事

特集

page top