advertisement
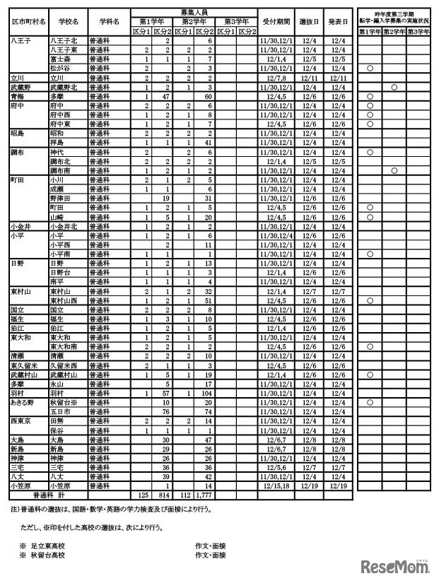
東京都教育委員会は2023年11月17日、2023年度(令和5年度)第3学期都立高等学校転学・編入学募集について公表した。全日制は、日比谷、西、国立、戸山など169校が5,432人を募集する。
batonが運営するQuizKnockは、東京地下鉄(以下、東京メトロ…
岐阜県教育委員会は2026年4月10日、2027年度(令和9年度)岐…
東京都教育委員会は2026年3月23日、2026年度(令和8年度)都…
文部科学省は2026年3月25日、2026年度(令和8年度)のスーパ…
2026年度(令和8年度)東京都立高等学校入学者選抜(都立入試…
大学通信は2026年3月16日、東京大学の高校別合格者数ランキン…
愛知県教育委員会は2026年4月14日、2027年度(令和9年度)愛…
2024年3月7日(木)、2024年度(令和6年度)京都府公立高等学…
Language