advertisement

24年3月卒の高校生就職内定率77.2%「工業科」トップ 2枚目の写真・画像

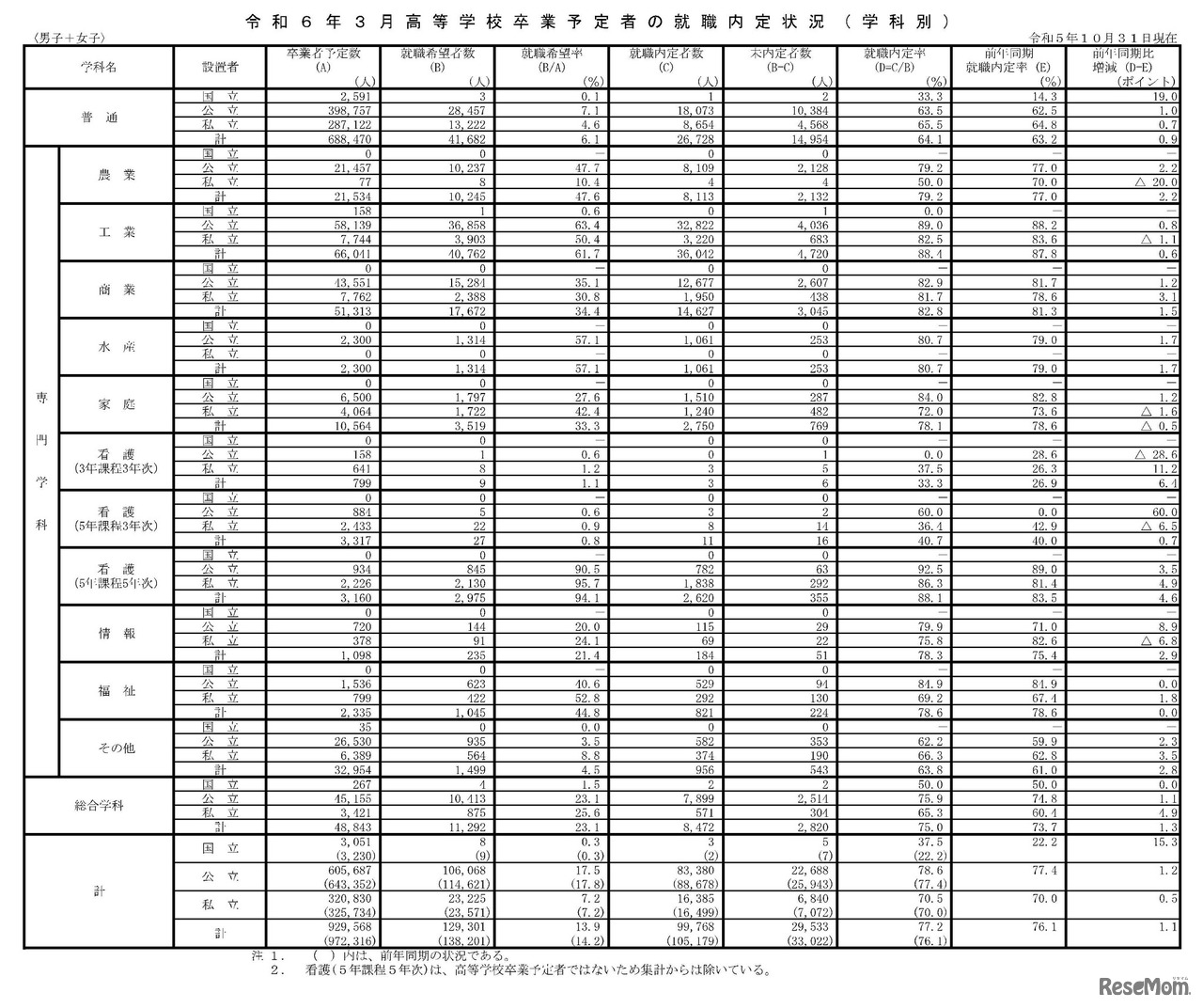
 文部科学省は、2024年3月高等学校卒業予定者の就職内定状況(2023年10月末現在)を発表した。就職内定率は前年同期比1.1ポイント増の77.2%。都道府県別では愛知県、学科別では「工業」に関する学科がもっとも内定率が高かった。

教育・受験 高校生
2024年3月高等学校卒業予定者の就職内定状況(学科別)男子+女子
画像出典:文部科学省 2024年3月高等学校卒業予定者の就職内定状況(学科別)男子+女子

編集部おすすめの記事

特集

page top