advertisement
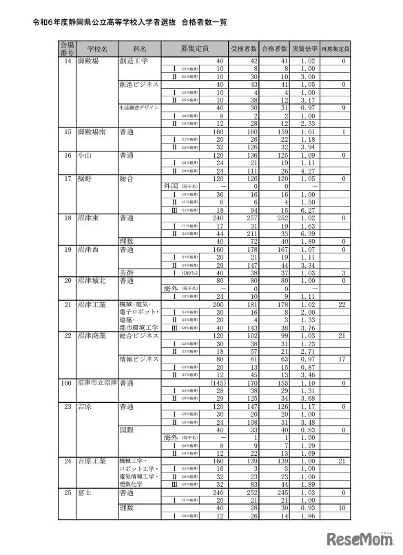
静岡県教育委員会は2024年3月14日、2024年度(令和6年度)静岡県公立高等学校入学者選抜の合格者数一覧と再募集実施校等一覧を公表した。全日制募集定員1万7,699人に対し、受検者数は1万8,631人、合格者数は1万7,382人。43校51科で688人を再募集する。
SBSテレビは2026年3月4日の午後4時50分より、同日に実施され…
日本私立学校振興・共済事業団は、2024年度の私立高等学校入…
大阪府教育委員会は2026年4月9日、2027年度(令和9年度)大阪…
ミスモ編集部は2026年5月10日、第12回「私立中学校合同相談会…
東京都は2026年4月13日、子育て世帯への臨時的な支援として、…
杏林製薬が特別協賛する体験型科学イベント「超からだのひみ…
Language