advertisement

【高校受験2024】静岡県公立高、1万7,382人合格…43校で再募集 6枚目の写真・画像

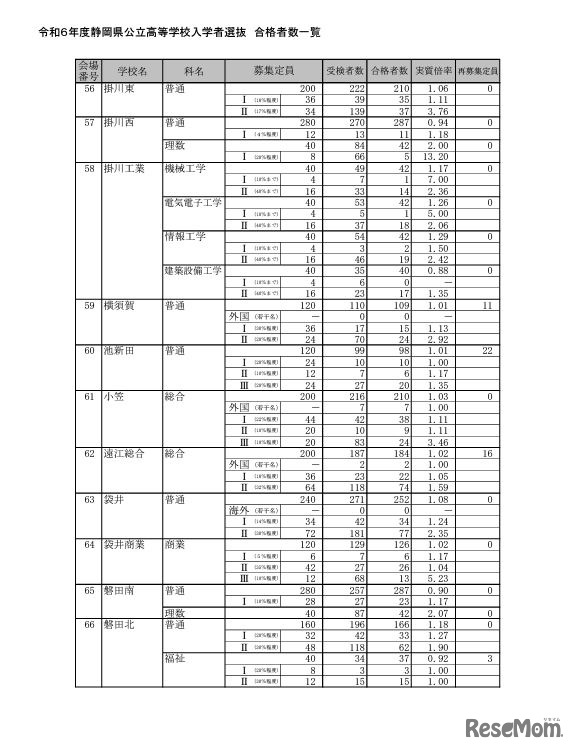
 静岡県教育委員会は2024年3月14日、2024年度(令和6年度)静岡県公立高等学校入学者選抜の合格者数一覧と再募集実施校等一覧を公表した。全日制募集定員1万7,699人に対し、受検者数は1万8,631人、合格者数は1万7,382人。43校51科で688人を再募集する。

教育・受験 中学生
令和6年度静岡県公立高等学校入学者選抜 合格者数一覧(全日制)
画像出典:静岡県教育委員会 令和6年度静岡県公立高等学校入学者選抜 合格者数一覧(全日制)

編集部おすすめの記事

特集

page top