advertisement
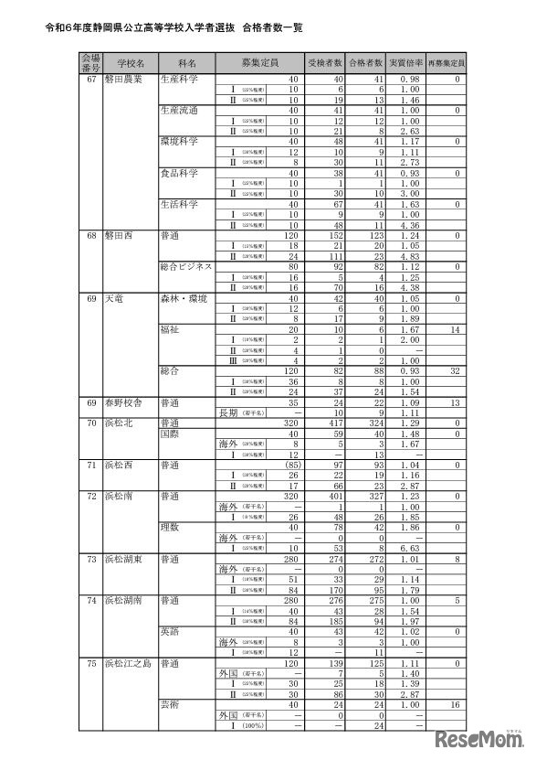
静岡県教育委員会は2024年3月14日、2024年度(令和6年度)静岡県公立高等学校入学者選抜の合格者数一覧と再募集実施校等一覧を公表した。全日制募集定員1万7,699人に対し、受検者数は1万8,631人、合格者数は1万7,382人。43校51科で688人を再募集する。
SBSテレビは2026年3月4日の午後4時50分より、同日に実施され…
日本私立学校振興・共済事業団は、2024年度の私立高等学校入…
三菱総研DCSと日本英語検定協会は、入試出願サービス「miraic…
神奈川県教育委員会は2026年3月13日、2026年度(令和8年度)…
龍谷大学は2026年3月16日、先端理工学部を2027年4月から「理…
東京都は2026年3月13日、保護者向け発達障害デジタルブック「…
杏林製薬が特別協賛する体験型科学イベント「超からだのひみ…
Language