advertisement

【中学受験2025】埼玉県1月入試の出願倍率(1/7時点)開智(算特)209倍 3枚目の写真・画像

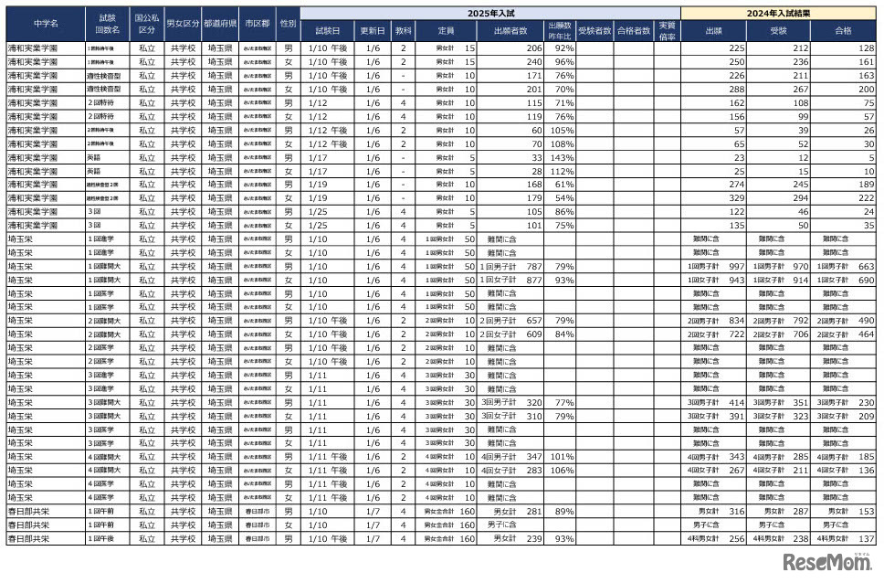
 埼玉県の私立中学入試の解禁日が2025年1月10日に迫る中、浦和明の星女子1回と青山学院浦和ルーテル1回などで出願が締め切られた。四谷大塚の1月7日現在の情報によると、開智では算数特待の出願倍率が209倍、出願数前年比は全試験で1.5倍以上となっている。

教育・受験 小学生
2025年首都圏中学入試の状況(2025年1月7日現在)埼玉
画像出典:四谷大塚 2025年首都圏中学入試の状況(2025年1月7日現在)埼玉

編集部おすすめの記事

特集

page top