advertisement

教育・受験ニュース記事一覧(1,797 ページ目)

【高校受験2017】佐賀県公立高入試の出願状況・倍率(確定)佐賀西(普通)1.25倍など 画像
中学生

【高校受験2017】佐賀県公立高入試の出願状況・倍率(確定)佐賀西(普通)1.25倍など

 佐賀県教育委員会は平成29年3月1日、平成29年度(2017年度)佐賀県立高校入学者選抜一般選抜試験の出願変更後の最終出願状況を発表した。全日制課程の募集定員4,510人に対し、5,111人が出願者し、倍率は1.13倍。学校別では、佐賀西(普通)が1.27倍から1.25倍に下がった。

【高校受験2017】群馬県公立高後期選抜の出願状況・倍率(確定)前橋(普通)1.16倍、高崎(普通)1.44倍など 画像
中学生

【高校受験2017】群馬県公立高後期選抜の出願状況・倍率(確定)前橋(普通)1.16倍、高崎(普通)1.44倍など

 群馬県教育委員会は平成29年3月1日、平成29年度(2017年度)群馬県公立高校入学者選抜について全日制課程後期選抜などの志願先変更後の志願状況を発表した。志願倍率は、前橋(普通)が1.15倍から1.16倍に増加、高崎(普通)が1.46倍から1.44倍に減少した。

【大学受験2017】国公立2次試験(中・後期)23大学で足きり、山梨712人 画像
高校生

【大学受験2017】国公立2次試験(中・後期)23大学で足きり、山梨712人

 文部科学省は3月3日、平成29年度(2017年度)国公立大学入学者選抜(中期・後期日程)の2段階選抜実施状況を発表した。2段階選抜は23大学29学部で実施し、4,134人が不合格となった。

【高校受験2017】徳島県公立高入試の出願状況・倍率(確定)徳島市立(理数)1.08倍ほか 画像
中学生

【高校受験2017】徳島県公立高入試の出願状況・倍率(確定)徳島市立(理数)1.08倍ほか

 徳島県教育委員会は平成29年3月2日、平成29年度(2017年度)徳島県公立高等学校一般選抜について、志願変更後の出願状況を発表した。全日制の平均出願倍率は1.03倍。各高校の出願倍率は、徳島市立(理数)1.08倍、徳島北(国際英語)1.00倍など。

【高校受験2017】兵庫県公立高入学者選抜の出願状況・倍率(確定)神戸(普通)1.10倍、兵庫(普通)1.17倍など 画像
中学生

【高校受験2017】兵庫県公立高入学者選抜の出願状況・倍率(確定)神戸(普通)1.10倍、兵庫(普通)1.17倍など

 兵庫県は平成29年3月2日、平成29年度(2017年度)兵庫県公立高等学校入学者選抜における志願変更を正午に締切り、出願状況を発表した。全日制最終日(志願変更締切時)の合計は、定員24,085人に対し、志願者数26,712人。倍率は1.11倍だった。

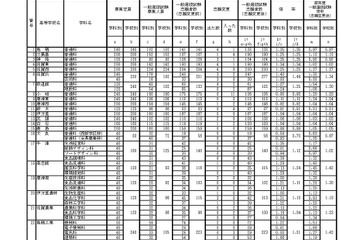
【高校受験2017】岐阜県公立高入試一次選抜の出願状況・倍率(確定)岐阜(普通)1.21倍、大垣北(普通)1.06倍など 画像
中学生

【高校受験2017】岐阜県公立高入試一次選抜の出願状況・倍率(確定)岐阜(普通)1.21倍、大垣北(普通)1.06倍など

 岐阜県は平成29年3月2日、平成29年度(2017年度)岐阜県公立高等学校入学者選抜のうち、第一次選抜・連携型選抜変更後の確定出願者数や倍率を発表した。第一次選抜を実施する学校は、全日制と定時制を合わせ74校。

河合塾「グローバル社会に対応した大学教育」調査報告会3/10 画像
先生

河合塾「グローバル社会に対応した大学教育」調査報告会3/10

 河合塾は3月10日、高等教育関係者を対象に「グローバル社会に対応した大学教育」2016年度調査報告会を麹町校で開催する。法政大や青山学院大など、進んだ取組みを実践する6大学が登壇する。受講料は無料。申込みは、Webサイトより受け付けている。

【発達障害2】あれ、周りの子と少し違う?子どもに現れる3つの兆候 画像
未就学児

【発達障害2】あれ、周りの子と少し違う?子どもに現れる3つの兆候

 全6回にわたり、発達の遅れや偏り、「発達障害」の側面から、その特徴や具体的な関わり方について紹介するコラム「発達障害」。第2回では、実際に子どもに見られる行動や、子どもの発達について気になったときの保護者の関わり方を紹介する。

東京都教委、公立小教師になるための学生向けハンドブック公開 画像
大学生

東京都教委、公立小教師になるための学生向けハンドブック公開

 東京都教育委員会は3月1日、公立小学校教師を目指す学生に向けてハンドブックを作成し、Webサイトに公開した。教師として必要な資質や能力を身に付ける支援となるような具体的な方策を、現職教師のアドバイスとともにまとめている。

【読者プレゼント】AR機能・動画も対応「学研の図鑑LIVE(ライブ)」シリーズ<応募締切3/31> 画像
未就学児

【読者プレゼント】AR機能・動画も対応「学研の図鑑LIVE(ライブ)」シリーズ<応募締切3/31>

 あらゆる年齢、用途に応じた数多くの図鑑を刊行している学研。その中でも、「学研の図鑑LIVE(ライブ)」は、BBC(英国放送協会)制作のDVDや、スマートフォンやタブレット端末を図鑑にかざすと現れる動画やARを活用し、より理解が深められる図鑑だ。

【高校受験2017】埼玉県公立高校<英語>問題・解答速報 画像
中学生

【高校受験2017】埼玉県公立高校<英語>問題・解答速報

 3月2日、平成29年度(2017年度)埼玉県公立高等学校入学者選抜の学力検査問題が実施された。リセマムでは、埼玉県から提供を受け、「英語」の解答速報を掲載する。このほかの教科についても同様に公開する。

【高校受験2017】埼玉県公立高校<社会>問題・解答速報 画像
中学生

【高校受験2017】埼玉県公立高校<社会>問題・解答速報

 3月2日、平成29年度(2017年度)埼玉県公立高等学校入学者選抜の学力検査問題が実施された。リセマムでは、埼玉県から提供を受け、「社会」の解答速報を掲載する。このほかの教科についても同様に公開する。

【高校受験2017】埼玉県公立高校<理科>問題・解答速報 画像
中学生

【高校受験2017】埼玉県公立高校<理科>問題・解答速報

 3月2日、平成29年度(2017年度)埼玉県公立高等学校入学者選抜の学力検査問題が実施された。リセマムでは、埼玉県から提供を受け、「理科」の解答速報を掲載する。このほかの教科についても同様に公開する。

【高校受験2017】埼玉県公立高校<数学>問題・解答速報 画像
中学生

【高校受験2017】埼玉県公立高校<数学>問題・解答速報

 3月2日、平成29年度(2017年度)埼玉県公立高等学校入学者選抜の学力検査問題が実施された。リセマムでは、埼玉県から提供を受け、「数学」の解答速報を掲載する。このほかの教科についても同様に公開する。

【高校受験2017】埼玉県公立高校<国語>問題・解答速報 画像
中学生

【高校受験2017】埼玉県公立高校<国語>問題・解答速報

 3月2日、平成29年度(2017年度)埼玉県公立高等学校入学者選抜の学力検査問題が実施された。リセマムでは、埼玉県から提供を受け、「国語」の解答速報を掲載する。このほかの教科についても同様に公開する。

神奈川県教委、モデル校成果をまとめた「小中一貫教育推進ガイドブック」 画像
先生

神奈川県教委、モデル校成果をまとめた「小中一貫教育推進ガイドブック」

 神奈川県教育委員会は3月2日、小中一貫教育を推進するうえでの基本的な考え方や方策を示したガイドブックを作成し、Webサイトに公開した。取り組みの参考となるよう、県内モデル地区の実験研究の成果をまとめている。

page top