四谷大塚は、2025年1月10日から始まる埼玉県内の私立中学入試の出願状況を公表した。2024年12月9日時点の出願倍率は栄東(A日程東大)46.4倍、開智(算数特待)147.4倍など。
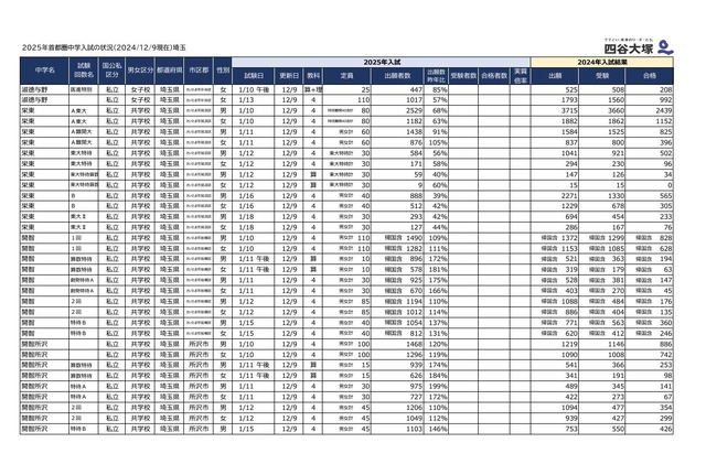
今回公表した「2025年首都圏中学入試の状況 埼玉」は、2025年1月10日にスタートする埼玉県内の私立中学校8校の出願状況について、四谷大塚が12月9日時点で取りまとめたもの。淑徳与野、栄東、開智、開智所沢、大宮開成、星野学園、浦和実業学園、埼玉栄の8校の試験回数名、試験日、定員、出願者数、出願者数の前年比などを掲載している。
このうち、栄東はA日程東大が男女計80人の定員に対し、出願者数は3,711人(男2,529人、女1,182人)、出願倍率は46.4倍。A日程難関大が男女計60人の定員に対し、出願者数は2,314人(男1,438人、女876人)、出願倍率は38.6倍。東大特待が男女計30人の定員に対し、4教科型と算数1教科型をあわせた出願者数は823人(4教科型・男584人、女171人、算数1教科型・男59人、女9人)、出願倍率は27.4倍。B日程は男女計40人の定員に対し、出願者数は1,400人(男888人、女512人)、出願倍率は35.0倍など。
開智は第1回が男女計110人の定員に対し、出願者数は2,772人(男1,490人、女1,282人)、出願倍率は25.2倍。創発特待Aが男女計30人の定員に対し、出願者数は1,595人(男925人、女670人)、出願倍率は53.2倍。算数特待は男女計10人の定員に対し、出願者数は1,474人(男896人、女578人)、出願倍率は147.4倍など。なお、開智の出願者数には帰国生を含む。
このほか、淑徳与野(医進特別)は女子計25人の定員に対し447人が出願、出願倍率は17.9倍。大宮開成(1回)は男女計80人の定員に対し827人(男462人、女365人)が出願、出願倍率は10.3倍。開智所沢(1回)は男女計100人の定員に対し2,764人(男1,468人、女1,296人)が出願、出願倍率は27.6倍など。
埼玉県の私立中学校の一般入試は、東京都や神奈川県よりも早く、1月10日を皮切りに本番を迎える。各校とも出願締切まで日にちがあるため、今後も出願者数は増える見通し。
四谷大塚では、Webサイト内の入試情報センターにおいて、首都圏中学入試の出願状況などを紹介している。出願状況は随時、更新して公表される予定。

