advertisement
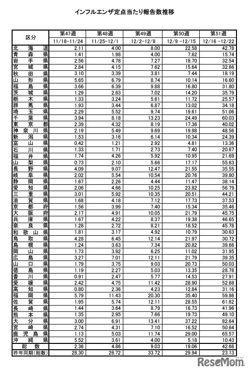
厚生労働省は2024年12月27日、第51週(12月16日~22日)のインフルエンザ発生状況を発表した。全国の定点あたり患者報告数は、前週から2倍以上増え、警報レベルの42.66人となった。東京や神奈川、千葉、埼玉が流行警報を発令するなど、全国的に感染が拡大している。
厚生労働省は2025年12月5日、第48週(11月24日~30日)のイン…
JR東日本は2025年12月17日から2026年3月31日まで、タイアップ…
新年を迎え、気持ちを新たに、私立小学校では受験生向けのイ…
12月はじめの週末は、各地の中学校でイベントが開催される。…
千葉県船橋市に所在するSEiRYO学園が、子供をもつ保護者を対…
エー・アンド・アイが運営する幼稚園・小学校受験対策教室「…
こども家庭庁は2025年11月14日、子供の不慮の事故を可能な限…
イー・エフ・エデュケーション・ファースト・ジャパン(EF)…
大学入試センターは2025年12月9日、2026年度(令和8年度)大…