advertisement
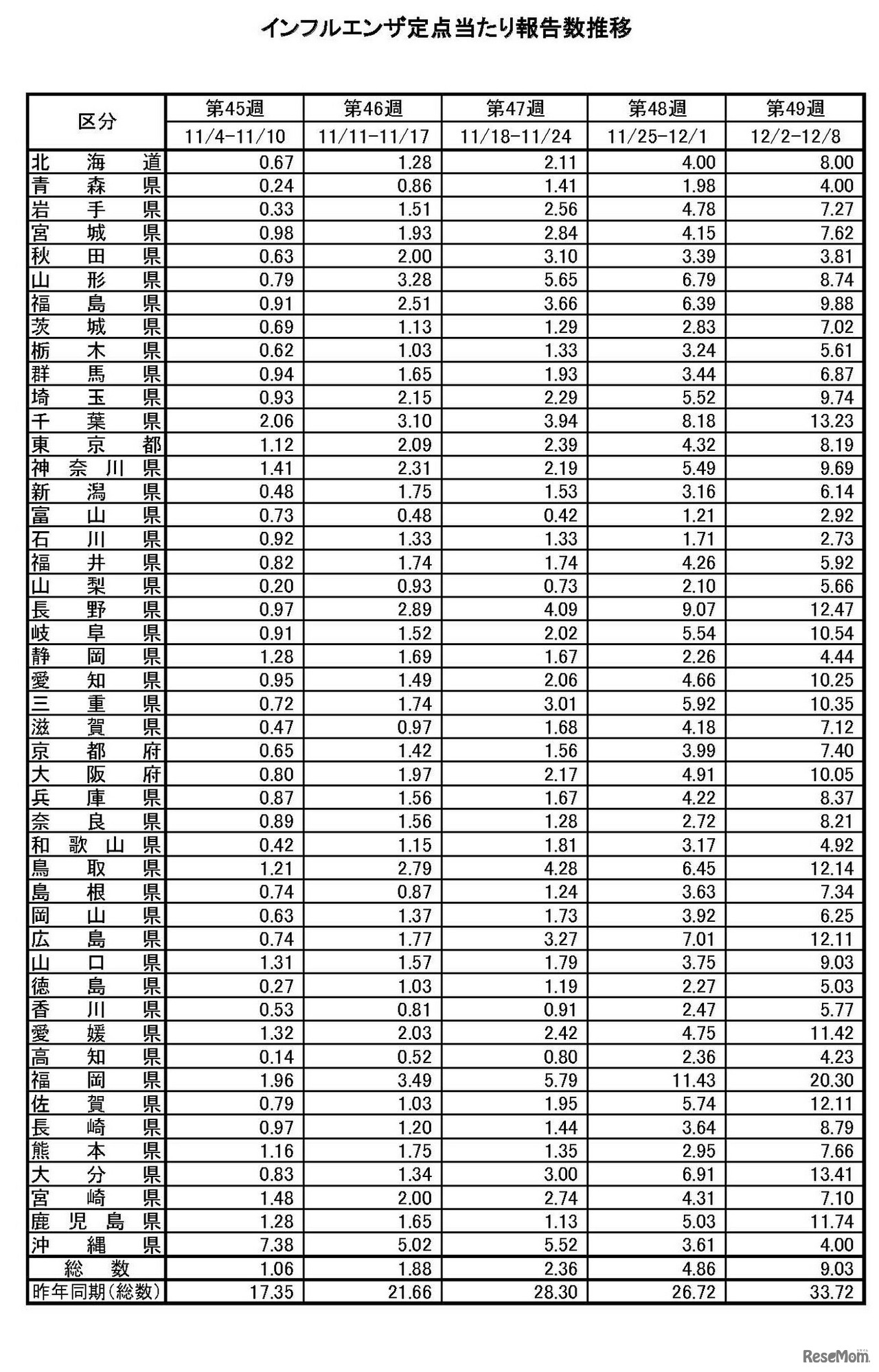
厚生労働省は2024年12月13日、第49週(12月2日~8日)のインフルエンザ発生状況を発表した。定点あたり報告数は全国平均で9.03人。報告数が20人を超えた福岡県をはじめ、大分県や千葉県など13府県が流行注意報レベルとなっている。
2026年度「こども霞が関見学デー」は2026年7月29日・30日の2…
東京都教育委員会は2026年2月17日、東京都立中等教育学校およ…
新潟県教育委員会は2026年4月10日、新制度を導入する2027年度…
2025年9月に発見された彗星「パンスターズ彗星(C/2025 R3:…
千葉県富津市のマザー牧場は、2026年4月25日から5月6日までの…
愛知県教育委員会は2026年4月14日、2027年度(令和9年度)愛…
旺文社の入試情報サイト「大学受験パスナビ」では、全国732大…
バンダイナムコエクスペリエンスが企画・プロデュースする屋…
厚生労働省は2026年3月31日、2025年度(令和7年度)「第49回救…
ユニファは、BABY JOB・ここるく・ハイフライヤーズと協働し…
ネクストビートが運営する保育士専門の就職・転職支援サービ…
勉強する理由の1つに「先生や親に叱られたくないから」と答え…
滝川グループ奨学金財団は、2026年6月1日から8月31日までの期…
Language