advertisement
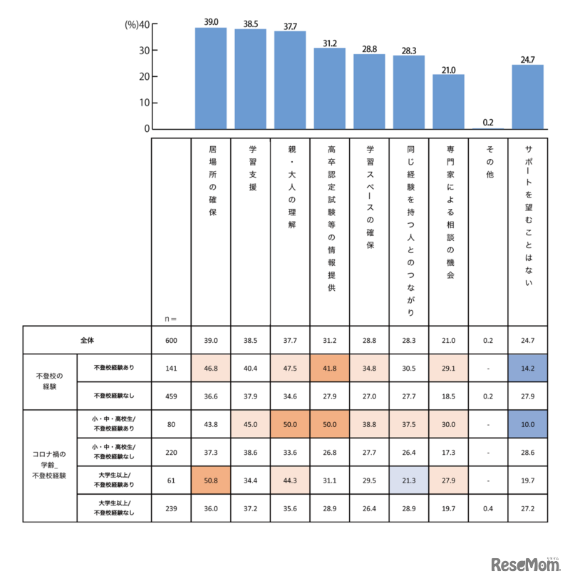
不登校経験者の約半数が「積極的不登校」を好意的に評価していること2025年6月4日、プレマシードの調査から判明した。不登校経験のある小中高生4割弱が「学校に通うべき」と認識する一方で、自分の意思で学校に行かない「積極的不登校」を肯定する結果となった。
練馬区立中里郷土の森は2026年6月から7月の金・土・日曜日、…
UCSI University(本校:マレーシア・クアラルンプール)およ…
5月中旬の週末は、各地の中学校でイベントが開催される。今回…
京都府内の公立高校が集まる2026年度の説明会が、通学圏ごと…
スタディプラスのStudyplusトレンド研究所は、CHINTAIと共同…
総務省統計局は2026年5月4日、子供の数(15歳未満人口)を発…
東京都教育委員会は2025年10月29日、2024年度の都内公立学校…
高知県教育委員会は、2027年度(令和9年度)高知県公立高等学…
東京六大学野球2026年春季リーグ戦で、東京大学が法政大学に2…
Language