advertisement
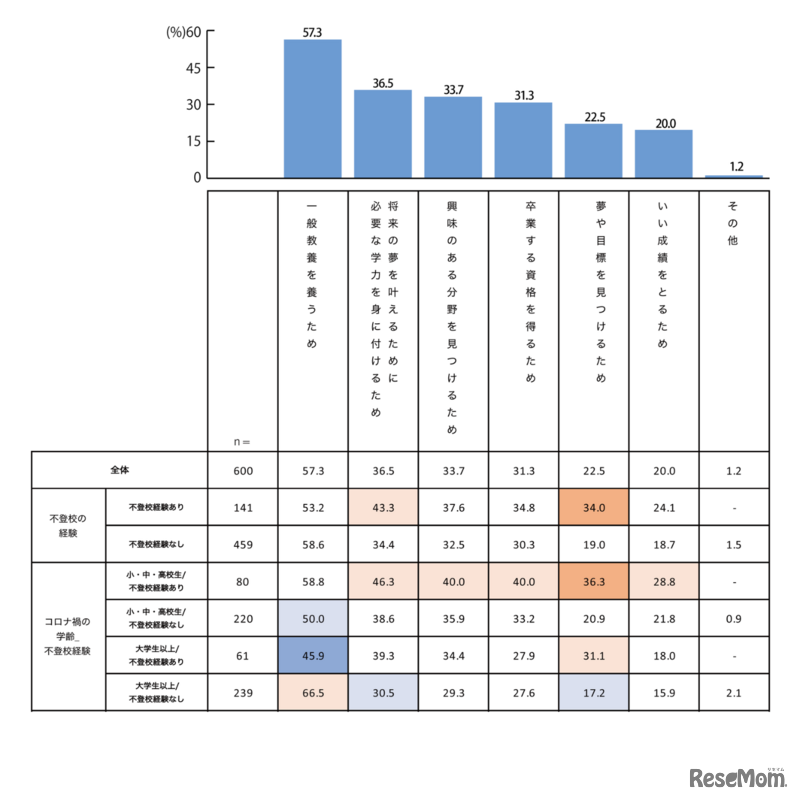
不登校経験者の約半数が「積極的不登校」を好意的に評価していること2025年6月4日、プレマシードの調査から判明した。不登校経験のある小中高生4割弱が「学校に通うべき」と認識する一方で、自分の意思で学校に行かない「積極的不登校」を肯定する結果となった。
東武鉄道は2026年6月20日、一般非公開の東武鉄道総合教育訓練…
artTunesは、次世代海洋サミット「Blue-Shrimp Summit.」をCE…
先生の働き方改革を応援するラジオ風YouTube番組「TDXラジオ…
桐光学園や湘南学園など、神奈川県内の私立中高一貫校が参加…
JSコーポレーションは、全国の高校生を対象とした「大学人気…
経済格差が深刻な国ほど、子供の肥満率が高く、学力が低い傾…
東京都教育委員会は2025年10月29日、2024年度の都内公立学校…
立命館は2026年4月、京都市に対し「立命館大学氷室地区」の地…
東京都は2026年5月15日、夏場の4か月間にわたり水道料金の基…
Language